Computer Science/Data Structure
[자료구조] 트리(Tree)의 기본 개념 및 종류, 그림으로 쉽게 알기
호우동
2022. 12. 8. 21:09
트리
- 계층적인 구조를 나타내는 자료구조
- 부모 - 자식 관계의 노드들로 구성
트리 용어

노드(node): 트리의 구성요소간선(edge): 노드를 연결하는 관계루트(root): 부모가 없는 노드(A)단말 노드(terminal node): 자식이 없는 노드( E, F, G, H, I, J )비 단말 노드(non-terminal node): 적어도 하나의 자식을 가지고 있는 노드( A, B, C, D )서브 트리(subtree): 하나의 노드와 그 노드들의 자손들로 이루어진 트리(점선)

- 자식/부모/형제/조상/자손 노드 : 인간과 동일함
레벨(level): 트리의 각 층 번호높이(height): 트리의 최대 레벨(3)차수(degree): 노드가 가지고 있는 자식 노드의 개수
트리의 종류

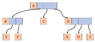
해당 트리를 연결 리스트로 표현하는 방법
- 일반 트리

- K차 트리 (ex 2차 트리, 3차 트리)
- 해당 그림에서는 3차 트리
- 사용하는 링크 필드의 개수 : 8개
- NULL인 링크필드의 개수 : 19개
- 해당 그림에서는 3차 트리

- 이진(binary) 트리
- NULL인 링크 필드의 개수 : 10개
- K차 트리 중 이진트리가 링크 필드 사용률이 가장 좋음.
